Характеристики и цены на маленькие холодильники
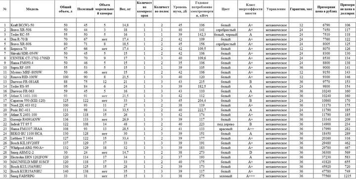
Для желающих купить небольшой холодильник мы подготовили подборку популярных моделей и их основные характеристики (см. Таблицу, перемещать можно слева направо, полоска внизу)
Содержание:
Характеристики и цены на малогабаритные холодильники
Предварительные результаты
Маленькие холодильники
Определение объема и размера
Небольшие однокамерные холодильники
Маленькие холодильники с морозильной камерой
Достоинства и недостатки мини-холодильников и отзывы покупателей
Небольшие однокамерные холодильники Shivaki: плюсы и минусы
Малые холодильники Атлант, их достоинства и недостатки
Мини-холодильник Indesit, преимущества и недостатки в сравнении
Малые холодильники Бирюса
Малые холодильники Daewoo
Малогабаритный холодильник Indesit с деревянным зерном
Маленькие холодильники Shivaki с двумя отсеками
Выбираем небольшой холодильник для дачи
Отзывы
|
№ |
Шаблон | Общий объем, л | Полезный | Объем морозильной камеры | Вес (кг | Количество компрессоров | Кол-во полок | Уровень шума, дБ | Годовое потребление электроэнергии, кВтч | Цвет | Класс энергоэффективности | Проверять | Гарантия, мес | Ориентировочная цена в рублях | Ориентировочная цена в долларах |
| 1 | Крафт БК (К) -50 | 50 | 45 | 5 | 14,8 | 1 | 2 | 45 | 106 | белый | А+ | механик | 12 | 6790 | 106 |
| 2 | Браво XR-50S | 50 | 44 год | 3 | 18 | 1 | 1 | 40 | 141 | серебряный | А+ | механик | 24 | 7450 | 117 |
| 3 | Теслер RC-55 | 55 | 50 | 5 | 16 | 1 | 1 | 39 | 142,3 | белый черный | А | механик | 24 | 7510 | 118 |
| 4 | Дон Р-70 Да | 70 | 67 | нет | 17,4 | 1 | 2 | 42 | 109 | белый | А+ | механик | 24 | 7760 | 122 |
| 5 | Браво XR-80S | 80 | 71 | восемь | 18,5 | 1 | 2 | 45 | 156 | серебряный | А+ | механик | 24 | 8005 | 125 |
| 6 | Бирюза 70 | 67 | 66 | нет | 17,4 | 1 | 2 | 42 | 109,5 | белый | А+ | механик | 12 | 8070 | 126 |
| 7 | Шиваки SDR-054W | 50 | 45 | 5 | 15 | 1 | 2 | 42 | 106 | белый | А+ | механик | 24 | 8300 | 130 |
| восемь | CENTEK CT-1702-170SD | 75 | 70 | девять | 17 | 1 | 3 | 40 | 109,6 | белый | А+ | механик | 24 | 8530 | 134 |
| девять | Hansa FM050.4 | 50 | 46 | 5 | 15 | 1 | 2 | 35 год | 106 | белый | А+ | механик | 24 | 8800 | 138 |
| 10 | Выше RF-055 | 55 | 53 | 5 | 15 | 1 | 1 | 39 | 105 | белый | А+ | механик | 36 | 9000 | 141 |
| одиннадцать | Тайна MRF-8050W | 50 | 46 | нет | 15 | 1 | 2 | 42 | 106 | белый | А+ | механик | 12 | 9150 | 143 |
| 12 | Ренова РИД-100Вт | 100 | 90 | восемь | 21,5 | 1 | 3 | 40 | 120 | белый | А+ | механик | 12 | 9300 | 146 |
| 13 | Daewoo FR-081AR | 88 | 75 | 12 | 21 год | 1 | 3 | 43 год | 215 | белый | Б | механик | 36 | 9770 | 153 |
| 14 | Тесла РС-95 | 95 | 84 | 6 | 24 | 1 | 3 | 39 | 182,5 | белый | А | механик | 24 | 9800 | 154 |
| 15 | Атлант Х 1401-100 | 93 | 91 | нет | 21,5 | 1 | 3 | 42 | 112 | белый | А+ | механик | 36 | 10240 | 160 |
| 16 | Daewoo FR-063 | 59 | 45 | 5 | 16 | 1 | 3 | 43 год | 110 | белый | А | механик | 36 | 10240 | 160 |
| 17 | Саратов 550 (КШ-120) | 125 | 122 | нет | 33 | 1 | 3 | 45 | 204,4 | белый | В | механик | 24 | 10860 | 170 |
| 18 | Северный DH 403 012 | 100 | 93 | одиннадцать | 27 | 1 | 2 | 38 | 119 | белый | А+ | механик | 36 | 11170 | 175 |
| 19 | Атлант Х 2401-100 | 120 | 118 | 15 | 26 год | 1 | 3 | 42 | 174 | белый | А+ | механик | 36 | 11790 | 185 |
| ветры | Pozic RC-411 | 111 | 98 | 14 | 33,5 | 1 | 2 | 40 | 222,7 | белый | А | механик | 24 | 11790 | 185 |
| 21 год | Gorenje R4091ANW | 136 | 133 | нет | 26,9 | 1 | 3 | 39 | 117 | белый | А+ | механик | 36 | 13340 | 209 |
| 22 | Индезит ТТ 85 Т | 122 | 108 | 14 | 48 | 1 | 2 | 40 | 223 | под деревом | Б | механик | 36 | 14900 | 234 |
| 23 | Ганза FM1337.3RAA | 108 | 93 | 13 | 28,5 | 1 | 2 | 41 год | 133 | красный | А++ | механик | 36 | 17990 | 282 |
| 24 | BEKO BU 1100 HCA | 130 | 128 | нет | тридцать | 1 | 3 | 39 | 151 | белый | А | механик | 36 | 18450 | 289 |
| 25 | Liebherr T 1404 | 127 | 122 | 15 | 33,4 | 1 | 2 | 39 | 177 | белый | А+ | механик | 36 | 20160 | 316 |
| 26 год | Bosch KIL18V20FF | 137 | 129 | 17 | 33 | 1 | 3 | 39 | 191 | белый | А+ | механик | 36 | 29480 | 462 |
| 27 | ARG 590 / A + гидромассажная ванна | 132 | 129 | 18 | 32 | 1 | 3 | 39 | 183 | белый | А+ | механик | 36 | 29780 | 467 |
| 28 год | Смег ABM32-2 | тридцать | 24 | нет | 14,7 | 1 | 2 | 38 | 273 | белый | Д | механик | 36 | 36300 | 569 |
| 29 | Электролюкс ERN 1202FOW | 120 | 114 | 17 | 34 | 1 | 2 | 37 | 193 | белый | А | механик | 36 | 37230 | 583 |
| тридцать | MAUNFELD MBF.81SCF | 120 | 118 | 17 | 33 | 1 | 2 | 40 | 175 | белый | А+ | механик | 36 | 41820 | 655 |
| 31 год | Bosch KUL15A50RU | 130 | 125 | 15 | 28 год | 1 | 2 | 39 | 173 | белый | А+ | механик | 36 | 45920 | 720 |
| 32 | Bosch KUR15A50RU | 140 | 138 | нет | 35 год | 1 | 3 | 39 | 117 | белый | А+ | механик | 36 | 47780 | 749 |
| 33 | Смег FAB5RPG | 33 | 31 год | нет | 15 | 1 | 3 | 38 | 275 | зеленый | A+++ | механик | 36 | 77560 | 1215 |
Для удобства фото столов.
![]()
Промежуточные выводы
Если вы хотите купить небольшой бюджетный холодильник с морозильной камерой, присмотритесь к моделям: Tesler RC-55 и Bravo XR-80S. Тем, кому нужен недорогой мини-холодильник без морозилки, подойдут Бирюса 70 и Дон Р-70 Б.
Для маленькой кухни вам нужен практически полный холодильник с морозильной камерой, выбирайте Whirlpool ARG 590 / A + или Bosch KIL18V20FF. Без морозильного отделения Bosch KUR15A50RU.
Из бюджетных моделей с большим объемом, Саратов 550 (КШ-120), Gorenje R4091ANW, Indesit TT 85 T.
Ниже мы подробнее рассмотрим хорошие холодильники и ответим на вопрос, на какие особенности стоит обращать внимание при выборе и покупке.
Холодильники маленьких размеров
Определяемся с объемом и габаритами
1. Полезный объем
Несомненно, большой объем холодильника — это преимущество, но не всем нужен большой объем, а иногда и пространство в комнате ограничено. Большой объем — большой размер. Также стоит определиться, нужна ли морозильная камера. Выйдя из него, увеличьте полезный объем холодильника.
2. Двухместный номер или одноместный номер
Отдельная морозильная камера — несомненный плюс, но если вам нужен небольшой холодильник на дачу, то он того стоит. На наш взгляд, нужна небольшая морозильная камера, но можно обойтись и без внутренней (холодильник однокамерный).
![]()
Маленькие однокамерные холодильники
![]()
Условно разделим однокамерные мини-холодильники на типы и приведем примеры продаваемых в настоящее время моделей, некоторые из которых будут рассмотрены более подробно ниже.
Максимальный объем
- Саратов 451 (КШ 160) (есть его обзор): 48х59х114,5 см, объем: холодильник 150 л, морозильник 15 л, цена от 13000 руб.
- Indesit SD 125: размеры 60х63х131 см, объем: холодильник 197 л, морозильная камера 28 л, цена от 16000 руб.
- Атлант МХ 2822-80: размеры 60х66,5х125 см, объем: холодильник 190 л, морозильная камера 30 л, цена от 16000 руб.
Холодильники средних размеров
- Indesit TT 85 T: размеры 60x62x85 см, объем: холодильник 105 л, морозильная камера 14 л, цена от 15000 руб.
- Бирюза R108CA: размеры 48×60,5×86,5 см, объем: холодильник 88 л, морозильная камера 27 л, цена от 9000 руб.
- Бирюса 8: размеры 58х60х85 см, объем: холодильник 136 литров, морозильная камера 14 литров, цена от 11000 руб.
- Daewoo FR-132A без морозильной камеры: габариты 48×53,1×85,8 см, объем холодильника 122 литра, цена от 11000 руб.
Мини-холодильники
- Атлант МХТЭ 30-01-60: без морозильной камеры: габариты 53,5х40х46 см, объем холодильника 30 литров, цена от 11000 руб.
- SHIVAKI SHRF-54CH: габариты 47,2x45x49,2 см, объем холодильника 45 л, морозильная камера 5 л, цена от 9000 руб.
Ниже мы отобрали для вас самые продаваемые модели с хорошими отзывами и долговечностью. Рассмотрим их подробнее.
Самый маленький холодильник без морозильной камеры
SHIVAKI SHRF-17TR1: габариты 38,5х34,1х41,5 см, объем холодильника всего 17 литров, цена 7000 руб.
![]()
Холодильник с полезным объемом всего 17 литров представлен торговой маркой SHIVAKI, модель SHRF-17TR1. Несмотря на свои размеры, он довольно большой. В центре — единая полка, разделяющая внутреннее пространство на две равные зоны. Бутылки отправятся на полку в двери. Потребители положительно отзываются о невысокой цене устройства, его тихой работе и компактности. Холодильник стал незаменим во многих гостиницах и на дачах.
Маленькие холодильники с морозильной камерой
Маленькие холодильники многофункциональны. Такие устройства подходят не только для больших пространств, но и могут быть выбраны специально для небольшого помещения. Морозильная камера — дополнительное удобство. Расположенный в верхней (чаше) или нижней части, в зависимости от модели, он компактно поместит продукты, которые необходимо хранить в замороженном виде.
На что обращать внимание при покупке
Помимо вышеперечисленных параметров, существует ряд технических характеристик холодильника, которые определяют надежность, функциональность и удобство использования модели. Среди них эксперты выделили самые важные:
- Тип установки: самонесущий или встраиваемый. Это зависит от особенностей кухонного интерьера.
- Система разморозки — ручная, капельная, Know Frost. Последний считается более комфортным, но увеличивает цену модели.
- Климатический класс. Определяет рабочую температуру агрегата.
- Уровень шума. Это сказывается на удобстве использования продукта.
- Энергоэффективность. Самыми дешевыми являются холодильники класса А, А +, А++.
- Дополнительные опции. Функциональность продукта определяется его назначением.
Мини-холодильники редко оснащаются сложной электроникой. Система управления обычно состоит из регулирования температуры.
Размеры
К мини-холодильникам относится холодильное оборудование высотой менее 850 мм — такое оборудование ниже кухонного стола. Работают, как и обычные, от сети напряжением 220В. Сегодня вполне возможно найти очень маленький холодильник, в котором будут храниться только напитки или небольшие продукты, требующие холодного хранения. Небольшой агрегат удобно носить с собой, использовать за городом или в машине.
![]()





Компрессорные
Эти холодильники работают отлично, но обладают высоким уровнем шума. Они идеально подходят для автомобиля, так как во время движения не слышно звука. Кроме того, он потребляет довольно много энергии и требует частой подзарядки, что не является проблемой для автомобильных холодильников.
Газовые

Эти типы холодильников отлично подходят для длительных поездок. Но они используются редко. Они отлично работают и могут остыть до -30 градусов. По объему эти холодильники достаточно вместительны. Расход газа у них невысокий, небольшого шестилитрового болона хватит на неделю. Газовые холодильники отлично подходят для караванов, но часто используются в сельской местности.
Большим преимуществом этих холодильников является их бесшумная работа.
Достоинства и недостатки мини-холодильников и отзывы покупателей
Маленькие однокамерные холодильники Shivaki: плюсы и минусы
Мини-холодильник Shivaki отлично впишется в любой интерьер. Прибор легко помещается под кухонной столешницей или встроенным шкафом и экономит место. Мини-холодильники Shivaki могут быть с морозильной камерой внутри или без нее. Маленькая морозильная камера вмещает около 2-3 кг продуктов и длительное время поддерживает необходимую температуру, работая автономно. Удобство устройства также заключается в двусторонней дверце, которая позволяет поставить холодильник как угодно. Нет выступающих ручек, поэтому они не занимают лишнего места. Благодаря небольшому весу его легко перемещать и транспортировать.
Холодильник SHIVAKI SHRF-17TR1
![]()
Термоэлектрический мини-холодильник SHIVAKI SHRF-17TR1 подходит не только для еды и напитков. Нормальная влажность и температура от 5 до 15 градусов позволяют использовать его для хранения косметики и лекарств. Устройство не требует разморозки, само остывает без компрессора. Холодильник имеет общий объем всего 17 литров, морозильного отделения нет.
Преимущества:
- Хорошо держит холод;
- Просторный;
- Свет;
- Внутреннее пространство легко организовать, переставив полки;
- Цена полностью соответствует качеству.
Недостатки:
- Шумы во время работы;
- Китайская сборка.
Холодильник SHIVAKI SHRF-54CH
![]()
Будет удачным вариантом на даче, в кафе, гостинице, офисе, небольшой квартире. Внутри прибора находится небольшая морозильная камера, которая находится в верхней части. Холодильник разморозить вручную, но процесс не займет много времени. Удобно мыть и убирать. Общий объем прибора составляет 50 литров.
Преимущества:
- Эффективно использует энергию;
- Компактный и вместительный;
- Наличие морозильной камеры;
- Функциональный;
- Цена и качество сопоставимы.
Минусы: качество (к счастью).
Маленькие холодильники Атлант, их достоинства и недостатки
Аппараты отечественного производителя отличаются универсальностью и доступной ценой. Они надежны и имеют хорошее качество сборки. На все модели холодильников предоставляется трехлетняя гарантия, после чего он продолжает работать долгое время. Мини-холодильник Атлант выполнен в простом и простом стиле, что позволяет ему вписаться в любое современное пространство. Такой прибор будет удобен как в маленькой квартире, так и на даче. Он работает практически бесшумно и энергоэффективно. Морозильник в «Атланте» можно разместить сверху или снизу. Также доступны модели без морозильной камеры. Прочные стеклянные полки можно установить на любом уровне. Вместительные емкости позволяют хранить фрукты, овощи и ароматные травы. По отзывам, качество полностью соответствует своей стоимости. Он просторный, удобный и светлый. Рассмотрим самые популярные модели.
Холодильник Атлант 2822-80
![]()
Однокомнатный холодильник с верхней морозильной камерой. Удобство использования благодаря системе капельного размораживания. Не громоздко. Экономический. Общий объем 220 литров. Оборудован электромеханической системой управления. Приблизительное время автономной работы 12 часов. Подходит для небольших кухонь и небольших семей.
Преимущества:
- Спокойствие;
- Низкий, но просторный;
- Комфортный;
- Надежный;
- Хорошее качество.
Недостатки:
- Дверь может двигаться после открытия;
- Слабая дверная ручка.
Холодильник Атлант МХТЭ 30-01-60
![]()
Мини-холодильник однокамерный, термоэлектрический, без морозильной камеры. Компактный общим объемом 30 литров. Тип управления механический. Предназначен для охлаждения напитков и хранения продуктов. Подходит для баров, офисов, гостиниц, медицинских учреждений. Внутри есть стеклянная полка и два отделения на дверце.
Преимущества:
- Низкая цена;
- Качественная сборка;
- Надежность;
- Обитаемость.
Недостатки:
- Незначительный шум при работе.
Мини-холодильник Indesit, сравнение достоинств и недостатков
Небольшой холодильник Indesit по европейским стандартам качественный и надежный. Он займет минимум места в любом помещении ограниченного размера и отлично впишется в интерьер. Выбор можно остановить на модели Indesit TT 85. Этот холодильник очень легкий, весит менее 50 кг. Его удобно носить и переставлять. Консольная дверца позволяет установить устройство так, как удобно владельцу. Он поместится под навесной шкаф или стол, а также может быть интегрирован в кухонную мебель. Холодильник удобен в использовании. Несмотря на небольшие размеры устройства, внутри он очень вместительный. Выше встроенная морозильная камера. Металлические полки устойчивы и могут перемещаться.
Преимущества модели Indesit TT85:
- Тихий;
- Замерзает хорошо;
- Удобно и компактно.
Недостатки:
- Периодически требует ремонта;
- Отсутствие яичного отсека;
- Блок с терморегулятором и лампочкой занимает много места.
Маленькие холодильники Бирюса
Холодильники российского бренда «Бирюса» полностью соответствуют требованиям международного стандарта. Несмотря на то, что холодильники недорогие, их качество остается на высоком уровне. К тому же производитель предоставляет трехлетнюю гарантию и это плюс. «Бирюса» имеет стандартные габариты и универсальный белый цвет. Его можно разместить где угодно благодаря двусторонней дверце. Достаточно вместительный изнутри с удобной организацией пространств. Прочные металлические полки вмещают до 15 кг. Механическое управление расположено внутри. Доступен с внутренней морозильной камерой или без нее. Все зависит от модели. Что касается дизайнерского решения, то есть вариант с прозрачной дверцей. Такого красавца можно поставить в офис или в гостиничный номер. Удобная система капельного размораживания. Размораживание не требуется; при периодическом отключении компрессора капли жидкости сами стекают в специальный лоток. Отзывы потребителей утверждают, что холодильник работает практически бесшумно, прост в использовании и занимает мало места. У многих такие холодильники работают более 5 лет без поломок и поломок. Цена на товар полностью соответствует качеству. Если вы остановили свой выбор на холодильнике отечественной марки, стоит обратить внимание на следующие модели:
Холодильник Бирюса R108CA
![]()
Сейчас есть новая Бирюса R122CA с большими габаритами (48х60,5х122,5 см, объем холодильника: 115 литров, объем морозильной камеры: 35 литров), но отзывов пока нет.
Холодильник однокомпрессорный Бирюса R108CA, сверху размещена внутренняя морозильная камера. Общий объем 115 литров. Небольшой вес и более низкие ролики позволяют легко перемещать устройство. Благодаря выбору цвета (белый / металлик) холодильник подойдет к любому интерьеру.
Преимущества:
- Удобно и компактно;
- Экономический;
- Тихий;
- Прочные полки и отделения внутри;
- Надежный.
Недостатки: не выявлены.
Холодильник Бирюса 8 (Б-8)
![]()
Простая модель в стандартном белом цвете с эргономичной организацией интерьера. Наличие двух полок, стеклянной и решетки, а также двух ящиков для овощей и фруктов позволяет разместить все необходимое. Балконы с пластиковыми дверьми отличаются прочностью и комфортом. Общий объем прибора 150 литров, морозильная камера расположена вверху. Тип электромеханического управления. Экологически безопасный и практически бесшумный в эксплуатации.
Преимущества:
- Просторный;
- Замерзает хорошо;
- Не шумно;
- Соответствует характеристикам;
- Простой в использовании.
Недостатки: маленькая морозильная камера (особенность, а не недостаток).
Маленькие холодильники Daewoo
Мини-холодильник Daewoo идеально подойдет на небольшой кухне или на даче. Отсек с прочными полками, большой ящик для овощей и место на дверце позволяют удобно и эргономично расположить продукты и напитки. Морозильная камера, расположенная вверху, может вместить полуфабрикаты и мороженое небольшими порциями. Задние стенки плоские, поэтому холодильник можно ставить как можно ближе к стене. К тому же некоторые модели легко помещаются под навесной шкаф или столешницу. Маленький Дэу впишется в любой интерьер. В дополнение к стандартным моделям в белом или серебристом цвете, бытовая техника также доступна с глянцевой черной дверцей. Этот прием украсит комнату. Отзывы об этих холодильниках положительные. Потребители отмечают элегантный дизайн, практичность, вместительность, бесшумность работы. Многие покупали устройство для офиса и дачи.
Холодильник Daewoo Electronics FR-132A
![]()
Белая модель — это так называемая классическая версия. Общий объем холодильника составляет 120 литров с верхней морозильной камерой всего 9 литров. Внутри есть 2 проволочные полки, пластиковый и пластиковый ящик для овощей и дверные секции, включая отделение для яиц. Решетчатые полки можно перемещать. Полная система капельного размораживания делает использование прибора очень удобным. Двусторонняя дверца позволяет устройству вписаться в любое пространство.
Преимущества:
- Хорошее качество и надежность;
- Легкость использования;
- Эргономичный
Недостатки: маленькая морозильная камера.
Холодильник Indesit маленький под дерево
![]()
Однокамерные холодильники от бренда Indesit выполнены как в стандартном дизайне, так и в индивидуальном стиле. Один из уникальных вариантов — небольшой дровяной холодильник Indesit модели TT 85 T. Он отлично вписывается в загородный дом. Дома на кухне с деревянной отделкой прибор тоже пригодится. Переносная дверца позволит установить оборудование в любом удобном месте. Холодильник поместится в нише и под столом. Потребителям нравится данная модель холодильника. Цветовая гамма радует многих, купивших такой холодильник. Также отметим его вместительность, качество, удобство использования. Морозильная камера работает исправно, в ней не скапливается лед. Небольшой недостаток — отсутствие контейнера для яиц, но это не проблема. Цена устройства полностью соответствует качеству.
Маленькие двухкамерные холодильники Shivaki
У холодильников Shivaki много популярных небольших двухкамерных моделей. Размеры таких холодильников вполне подходят для небольших кухонь. Морозильник отдельный и размещается сверху или снизу.
Shivaki SHRF-152DS
![]()
Преимущества:
- цена ;
- тихий (отзывы расходятся, кто-то недоволен);
- хорошо остывает.
Недостатки:
- не очень качественный пластик;
- легковоспламеняющийся хладагент (опасен в случае утечки)
Shivaki SHRF-90DP
![]()
Есть обзор Shivaki SHRF-90DP
Преимущества:
- хорошо замерзает;
- вместительный для своего размера;
- успокаивать;
- полочки в дверце можно преодолеть;
- красивый дизайн.
Недостатки: «колеблющееся» качество сборки, по этому много нареканий и поломок.
Виды
Сегодня многие производители предлагают мини-холодильники для вина и других спиртных напитков с одним отсеком, с замком, со стеклянной дверцей. Модели под деревом, с прозрачной дверцей, с USB-портом, с режимом «No Frost» — идеальны для перевозки из одного места в другое. Покупателям доступны очень маленькие модели, напоминающие современный гаджет для дома.
- Портативный. Компактные портативные устройства. Эти небольшие модели можно носить с собой куда угодно, в зависимости от ваших потребностей.
- Бар. Устройства, предназначенные для охлаждения напитков.
- Автомобильный сектор. Автомобильное холодильное оборудование может питаться от «прикуривателя» в автомобиле.
- Зарегистрировано. Устройства, предназначенные для установки под столешницу. Такие агрегаты выполняют множество полезных функций, иногда полностью заменяя двухкамерные. Их часто покупают для офисов, чтобы работники могли пообедать с ними.
- Автономный. Отдельностоящие холодильники компактных размеров.
- Компактный. Эти холодильники имеют небольшие размеры. Их можно установить в небольших магазинах или как дополнение к полноценному холодильнику на кухне. Компактные устройства могут иметь два типа открывания крышки. Фронт — классический пример. Вертикальный — тот случай, когда модель очень удобно разместить в шкафу.
- Одноместный номер. Однодверные холодильники, в которых морозильная камера расположена над или под холодильником, имеют отсек с возможностью разделения на две полки. Вы можете купить однокамерный холодильник до 1 метра. Его ширина стандартная — от 40 до 50 см. Такие аппараты укомплектованы небольшой морозильной камерой, которая вполне способна полноценно функционировать как отдельные секции в больших аналогах.
- Холодильники однокамерные — компактные. У них вообще нет морозильника. Их часто устанавливают в гостиничных номерах для охлаждения напитков и небольшого количества еды. Модели, оборудованные морозильной камерой, обычно заполнены поддонами для кубиков льда, чтобы быстрее охладить напитки в жаркую погоду.
- Двухпалатный. Эти устройства доступны в средних и больших размерах. Двухкамерные холодильники имеют простую конструкцию. Обычно есть холодильная камера вверху и морозильная камера внизу, но это зависит от производителя. Для хранения продуктов особой разницы в положении камер нет.
![]()




11фото
Широкий ассортимент товаров — прекрасная возможность выбрать наиболее подходящий вариант. Агрегаты имеют разную емкость, например, термоэлектрический Атлант имеет 31 литр, холодильники LG — 50 литров, а устройства Whirlpool — 88 литров. В зависимости от функций и внешнего вида мини-холодильника цена будет отличаться.
![]()





В некоторых моделях есть низкотемпературное отделение, в котором можно разместить лотки для кубиков льда и хранить мороженое и замороженные продукты.
Такие устройства имеют те же характеристики, что и полноразмерные. В одних есть морозильная камера, в других — просто холодильник. Есть модели с отсеком для напитков, например, вина. Вы можете выбрать холодильник с декоративным внешним видом, например под дерево, цельностеклянный или дизайнерский. Кстати, мини-холодильник может быть портативным. Например, стильный холодильник объемом 14 литров с ручкой для переноски. Содержимое видно через прозрачное стекло. Он работает как от сети, так и от автомобильного аккумулятора, имеет электронную систему охлаждения. Интересная мини-модель — холодильник USB. Пока пользователь работает за компьютером, охладите свой напиток.
![]()
Через пять минут температура внутри становится 8 градусов. Такой прибор не является кухонным прибором.
![]()
Рейтинг лучших
Лучший холодильник — это тот, который максимально выполняет свою функцию, независимо от его размеров. Представляем список известных производителей, выпускающих мини-холодильники по оптимальным ценам.
- Север. Мини-холодильник оборудован складским помещением, компрессором, системой ручного размораживания и механическим управлением. Прекрасно подойдет для дачи или небольшой кухни. Прекрасно вписывается в элегантные интерьеры.
- Daewoo. Модель FR-052A на 59 литров серебристого цвета отлично подойдет для офисов и гостиниц, а также для небольших помещений, где размер обычного холодильника не позволяет ему гармонично вписаться в интерьер. Модель можно использовать как офисный или гостиничный минибар. Принцип работы — компрессор. Полезный объем — 45 литров. Внешние размеры мини-холодильника 44×51,1x 45,2 см.


- На. Японская компания, отличающаяся высоким качеством и оснащением. При этом мини-холодильники этой марки имеют очень невысокую стоимость. Малый холодильник RF-08® привлечет внимание покупателей своим компактным размером. Он однокамерный с морозильной камерой, компрессором, электромеханическим управлением, материал корпуса пластик или металл. Размеры устройства 48х50х62 см.
- Холодильники «Бирюса» выпускает Красноярский холодильный завод. Помимо агрегатов для дома производитель выпускает промышленные и коммерческие модели. Вся продукция качественная, благодаря использованию комплектующих мировых производителей. Мини-холодильник однокамерный с морозильной камерой «Бирюса» рассчитан на объем 27 литров, имеет компрессор, класс энергоэффективности «А», электромеханическое управление, материал корпуса — пластик и металл, габариты — 48х60х86 см.


- Беко. Новый бренд от турецкого производителя быстро завоевал популярность на российском рынке бытовой техники. Модель маленького холодильника ВК 7725 порадует доступной ценой и высоким качеством европейского уровня. Компания известна тем, что является крупнейшим рекламодателем английской премьер-лиги и спонсором футбольного клуба «Барселона». Модель холодильника однокамерная с морозильной камерой, компрессором, электромеханическим управлением, объем основной камеры 46 литров, габариты 47х45х50 см.
- Эленберг. Миниатюрный прибор, который можно использовать для дачи, дома, офиса. Выглядит элегантно, свежие продукты и напитки. Общий объем 47 литров, управление механическое, системы разморозки нет, есть морозильная камера.


- Красный бык. Компания занимается производством эко-кулеров, мини-холодильников, потребляющих небольшое количество энергии. Благодаря использованию природного хладагента экоохладители значительно более экологичны, чем традиционные холодильники. Использование мини-холодильников — эффективный способ избежать выбросов парниковых газов.
- Смег. Бренд из Италии давно известен российскому пользователю благодаря отличному качеству продукции, в том числе мини-холодильникам. Компания пользуется большим уважением во всем мире. Небольшие холодильники отличаются неординарным и элегантным дизайном, широким ассортиментом оригинальных моделей, наличием встроенных под столешницу моделей с высокой функциональностью. Размеры мини-устройства 56х55х82 см.


- Samsung. Мини-устройство может сохранять стратегически важные продукты в течение длительного времени, можно выбрать режимы охлаждения и замораживания. Тихий, оборудован системой «No Frost», основное отделение просторное. Стоит такая модель недешево — 20 тысяч рублей.
- Aucma. Эта модель представляет собой сочетание оптимального объема и компактных размеров, эргономичности и элегантного дизайна, возможность использования в отелях, барах, кафе.


- Индезит. Эта мини-модель имеет морозильную камеру. Достоинства устройства — вместительность, дешевая цена, наличие морозильной камеры. Устройство идеально подходит для офисов. Средняя стоимость 7 тысяч рублей.
- Liebherr. Многие наверняка слышали о инжиниринговой компании Liebherr из Германии. В компании есть подразделение, которое занимается разработкой и производством холодильного оборудования как для промышленного, так и для домашнего использования. Мини-холодильник этой марки энергоэффективен. Качество агрегата высокое, оно эргономично, имеет удобное механическое управление, имеет небольшие габариты, компактность, дверцы можно снова вешать. Стоимость бюджетная, 7 тыс. Руб.


- Electrolux. Шведский производитель предлагает рынку широкий ассортимент товаров для крупной и мелкой бытовой техники. Одно из направлений работы компании — производство малогабаритной и крупной кухонной техники, в том числе качественных холодильников. Российский пользователь хорошо знаком с миниатюрными холодильными приборами этой марки: объем самой компактной модели — 18 литров, камера с морозильной камерой, электромеханическое управление, пластиковый и металлический корпус, размеры — 55х61х85 см.
- Крафт. Маленький польский холодильник BC (W) -98 обладает европейским качеством и вполне доступной ценой. При этом в продукции компании используются только современные разработки в области холодильного оборудования. Компания также занимается производством другой бытовой техники. Основные характеристики модели: камера с морозильной камерой, объем основной камеры 84 литра, высокий класс энергоэффективности, компрессор, электромеханическое управление, материал корпуса — металл и пластик, размеры — 50х54х84 см.


- Занусси. Итальянская компания давно известна на европейском пространстве. Производитель сегодня использует инновационные разработки в своих технологиях, которые улучшают и делают бытовую технику более удобной для пользователей. Минихолодильник модели ZRG 15807 WA, однокамерный с морозильной камерой, электромеханическое управление, объем камеры — 118 литров, материал корпуса — пластик и металл, размеры — 55x61x85 см.
- Вестфрост. Модель небольшого холодильника VD 142 RW изготовлена датским производителем, который редко встречается в российском космосе. Но качество продукции этой компании самое высокое. Компания специализируется на производстве холодильников с 1963 года и широко известна среди пользователей в Европе. Модель однокамерная с морозильной камерой, объемом 80 литров, есть компрессор.


2 Bravo XR-80

Самый функциональный
Страна: Россия (производство Китай)
Средняя цена: 7158 руб.
Рейтинг (2021): 4.7
Хозяйственный холодильник высотой до 68 сантиметров. Объем камеры 71 литр, из которых 63 литра — холодильная и 8 — морозильная. Производителю удалось совместить в одной модели вместительность и максимальную экономичность — класс энергопотребления здесь А +. В отзывах владельцы устройства указывают на умеренный «аппетит» к мини-холодильнику.
Среди особенностей модели — слишком плотная пригонка двери. Чтобы его открыть, нужно приложить усилие. Иногда холодильник вместе с дверцей тянет за собой. Модель предназначена для работы в нормальных и субтропических климатических зонах. Подходит как основной холодильник в съемной квартире, если вы живете один. Для двух человек модель тоже подойдет, просто нужно запомнить игру Тетрис для рационального размещения продуктов. Это лучший вариант для своей ценовой категории, который может похвастаться грамотным разделением пространства полками.
2 Shivaki SDR-054W

Надежный
Страна: Германия
Средняя цена: 6956 руб.
Рейтинг (2021): 4.9
Небольшой холодильник категории «мини» объемом 50 литров. 45 из них находятся в холодильной камере, а остальные 5 — в морозильной камере. Отделения отграничены только полкой, раздельных дверок нет. По этой причине разница температур в холодильной и морозильной камерах не очень большая.
Полки металлические. Уровень шума не превышает 42 дБ. Это одна из лучших моделей для дачи, сдачи квартиры в аренду, гаража. Классу энергосбережения нравится: А +. Таким образом, с этой моделью вы сэкономите не только пространство, но и электроэнергию. Здесь вы не найдете инновационных функций — это простой и надежный мини-холодильник. Размораживание ручное, нет системы No Frost, нет льдогенератора. Но есть возможность пройти через дверь с другой стороны. Такой холодильник, если верить отзывам, служит годами. Он лучший в нашем рейтинге по надежности.
Лучшие мини холодильники высотой до 100 см
С учетом результатов проведенных тестов и анализа отзывов пользователей эксперты отобрали 10 лучших моделей в топе небольших единиц. Описание моделей позволит пользователям понять, какой небольшой холодильник выбрать, с морозильной камерой или без.
SCANDILUX R 091 W
Шкаф с морозильной камерой класса A + имеет высоту 88 см, ширину 48 см и глубину 50 см. 78-литровый холодильник с полезным объемом имеет 2 полки из закаленного стекла, съемный пластиковый ящик для овощей и фруктов. Верхняя морозильная камера вмещает 10 литров. Предназначен для работы при температуре от +10 до +43 0С. Уровень шума 43 дБ.
защита от перенапряжения;
двусторонние двери;
установка вплотную к стене.
Цены в интернет-магазинах
ATLANT Х 1401-100
Компактная модель с электромеханическим управлением выпускается высотой 85 см, шириной 48 см и глубиной 44,5 см, не имеет морозильной камеры, а объем холодильной камеры с 3 полками, ящиком для овощей и фруктов составляет 91 л. Система размораживания — капающая. Предназначен для работы в условиях от +16 до +38 0С.
легкий;
низкое энергопотребление;
качество сборки.
Цены в интернет-магазинах
Бирюса M90
Мини-холодильник российского производства выпускается в белом и серебристом цветах. Есть морозильная камера, но ее объем всего 1 литр. Объем холодильной камеры с ручным размораживанием — 93 литра. Благодаря выдвижным металлическим решетчатым полкам пользователь может легко организовать внутреннее пространство под себя. Годовое потребление энергии составляет 109,5 кВтч.
стабильная работа при температуре до +38 0С;
легкий;
просторный.
Цены в интернет-магазинах
ATLANT Х 2401-100
Компактный белорусский холодильник с морозильной камерой на 15 литров. Объем холодильной камеры с 2 полками и прозрачным ящиком составляет 110 литров. Модель имеет ширину 55 см, глубину 58 см и высоту 85 см. Система размораживания смешанная. Допускается эксплуатация в условиях от +16 до +38 0С. По энергоэффективности относится к классу A +. Более 96% респондентов рекомендуют приобретать товар.
автономно поддерживает холод до 9 ч.;
удобные аксессуары для интерьера;
качество сборки.
Цены в интернет-магазинах
Hansa FM1337.3RAA
Модель привлекает интересным ретро-дизайном красного цвета. Он имеет 13-литровую морозильную камеру с ручным размораживанием. Вместимость холодильной камеры — 93 литра. Единица больше, чем предыдущие кандидаты. Его высота 86 см, ширина — 55 см, глубина — 61,5 см. Он предназначен для эксплуатации в южных регионах.
энергетический класс А++;
автономный холодильный склад — 11 часов.;
Светодиодная подсветка.
Цены в интернет-магазинах
Бирюса M70
Агрегат, входящий в рейтинг холодильников 70см, выпускается в сером и белом цвете, но без морозильной камеры. Модель имеет высоту 65 см, ширину 44,5 см и глубину 51 см. Холодильная камера объемом 66 литров оснащена 3-мя металлическими полками. Система разморозки — ручная, шум — 42 дБ. Этот продукт рекомендуют более 96% пользователей.
минимальное потребление энергии;
качество сборки;
тихая работа.
Цены в интернет-магазинах
Liebherr Tb 1400
Один из лучших агрегатов в рейтинге мини-холодильников по качеству сборки. Модель выпускается известным немецким брендом в черном цвете. Его высота составляет 85 см, ширина — 50,1 см, глубина — 62 см. Морозильной камеры нет, объем холодильной камеры с 4-мя стеклянными полками, пластиковой тарой для овощей и фруктов — 138 литров. Система размораживания — капающая. Класс энергоэффективности А +. Возможность встраивания под столешницу.
уровень шума — 37 дБ;
рассчитаны на работу при температуре от +10 до +38 0С;
двусторонние дверные петли
Цены в интернет-магазинах
Shivaki SDR-054S
Самая маленькая модель в рейтинге лучших малых электромеханических холодильников. Такая компактность обусловлена наличием 5-литрового морозильника, занимающего лишь половину пространства вверху, и отсутствием ящика для овощей и фруктов. Холодильная камера объемом 45 литров разделена на 2 отсека металлической решеткой полки. Высота агрегата 49,2 см, ширина 47,5 см, глубина 45 см. Камеры размораживаются вручную. Стабильная работа возможна при температуре от +16 до +38 0С.
двусторонняя дверь;
класс энергоэффективности А+;
красивый дизайн.
Цены в интернет-магазинах
Бирюса 108
По сравнению с предыдущими кандидатами марки, эта модель имеет большой объем — холодильник на 88 литров и морозильная камера на 27 литров. Высота агрегата класса А с электромеханическим управлением составляет 86,5 см, ширина — 48 см, глубина — 60,5 см. Камеры размораживаются вручную. Холодильник выпускается в двух цветах: белый и металлик. Пользователи отмечают, что модель идеальна для дачи и офиса. Продукт получил высокие оценки 90% респондентов.
тихая работа;
Светодиодная подсветка;
двусторонняя дверь.
Цены в интернет-магазинах
Выбор маленького холодильника для дачи
Холодильник для дачи нужно выбирать рационально. В принципе, он ничем не будет отличаться от обычного дома, но при его выборе все же есть пара нюансов.
- Наличие или отсутствие морозильной камеры. Если загородный дом посещают только по выходным, вариант без морозилки будет вполне приемлемым. Тем, кто живет сезонно в сельской местности, потребуется компактная двухкамерная модель или однокамерная модель с внутренней «морозильной камерой». Наличие морозильной камеры позволит хранить ягоды, зелень и другие продукты.
- Электронное управление и дополнительные функции. Дачному холодильнику такие элементы не нужны. Главное, чтобы им было удобно пользоваться и не нужно было долго размораживать.
- Объемные размеры. Для загородного дома это тоже лишнее. Кроме того, если дача большая или там живет большая семья.
Маленькие холодильники для дачи намного удобнее и дешевле. Такие устройства позволят сэкономить электроэнергию и впишутся в небольшой дом без значительного «воровства» ценных счетчиков.
Собирайте мнения! Какую модель вы выбрали для себя и где хотите использовать: дом, дачу, офис…? Почему бы вам не купить полноразмерную, которой не хватает: денег, места или нет? © obzorok.ruАвтор: маленькие сборки холодильников: Шиваки, Атлант, Индезит…
Отзывы ()
Кулик ↓ Шиваки шрф 90 нравится, хорошо смотрится и цена приемлемая. На работе стоит маленький бирюзовый холодильник, модель не помню, работает хорошо, никто не жаловался. Отвечать
Никита ↓ Я бы взял такой Индезит себе на дачу, он идеально подошел бы. И если бы он жил не в квартире, а в частном доме, он тоже вернулся бы домой. Хотел бы свой мини-бар) Ответить
Саня ↓ У меня был ровно один «деревянный» индезит, купил себе в общежитии) маленький, но мне хватило, потом к большим холодильникам привык уже давно) Ответ
Олег ↓ мы для дачи особо ничего не выбирали, просто перевезли туда наш старый Хотпоинт потому что, холодильник работал все время отлично, а теперь продолжает работать, ничего не делается
Оля ↓ Живу одна, но такого мини-холодильника мне все равно не хватит, если нужен не занимающий много места холодильник, можно просто установить встроенный, я позаботилась о своем джакузи
Выбор лучшего холодильника по цене — качество и надежности
![]()
Выбор холодильника: только полезные параметры
![]()
Как убрать запахи из холодильника: 3 самых простых и действенный варианта
![]()
[spoiler title=»Источники»]
- https://obzorok.ru/holodilnik/vibor-xolodilnika/396-malenkie-xolodilniki-ili-mini-xolodilniki-dlya-doma-dachi-i-ofisa-vyibor-luchshego.html
- https://o-holodilnikah.ru/10-luchshih-mini-holodilnikov-rejting-2021-goda/
- https://dekoriko.ru/kuhnya/holodilnik/mini/
- https://vash-holodilnik.ru/pokupka/mini-xolodilniki.html
- https://markakachestva.ru/rating-of/2027-luchshie-mini-holodilniki.html
[/spoiler]